(通讯员徐皓杰  编辑耿婧)为进一步推进党史学习教育,落实我为群众办实事,关心乡村留守儿童的健康成长,推进乡村振兴的发展战略。beat365中文官网各学生党支部由beat365中文官网水文专业大学生党支部牵头,携手中国地质大学(武汉)研究生支教团联合牵线开启“书信陪伴,‘纸’与你说”匿名书信活动。龙江中学的同学们以匿名形式分享自己的故事,畅所欲言;中国地质大学(武汉)的学长学姐们进行回信,聆听烦恼,分享快乐,打开云岭山区孩子们的心灵之窗,进一步加强地大beat365中文官网与云南楚雄龙江中学的联系。

云南楚雄龙江中学学生听取活动安排
在云南省楚雄龙江中学里,大部分同学来自山区,家校距离较远,父母外出打工,他们时常缺少亲人的陪伴理解。每个孩子都有属于自己的心事,或许是不知与谁分享的小幸福,又或许是难以开口的忧愁苦恼。为了进一步发挥党员的先锋模范作用,关心山区留守儿童的成长发展,beat365中文官网水文专业大学生党支部、环境工程大学生党支部、生物大气专业大学生党支部党员、学生代表与楚雄龙江中学高一年进行书信交流,以书信为媒,用笔墨传递青春正能量。
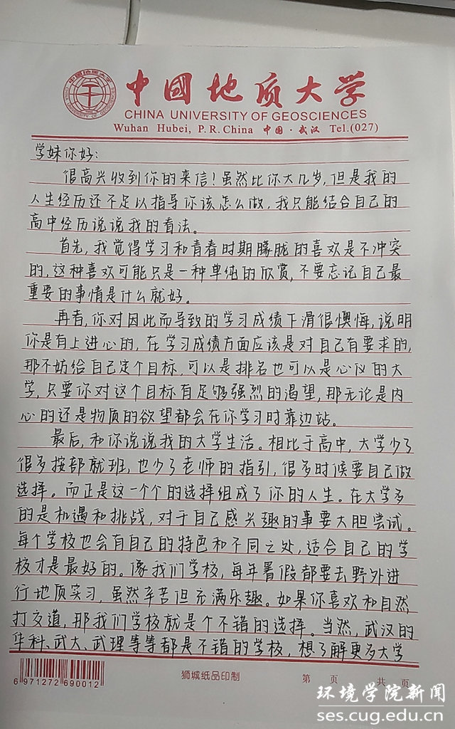
环境学子将楚雄龙江中学的同学们来信认真阅读并耐心回复,最终将回信放入原信封寄回。

活动收到的信件
 
参与者进行阅读信件并回信
以匿名信件为信鸽,学院的党员同志们为楚雄龙江中学的孩子们创造了更多的倾诉空间,使他们感受到来自大学生党员的关怀与温暖,积极引导他们塑造健康向上的心理、正确处理负面情绪,启发学生以乐观积极的态度面对生活中的种种困难,引导学生热爱并且享受生活中的点点滴滴。对于地大beat365中文官网的学生来说,他们同样有着不一样的感受,大家如是说:
水文专业大学生党支部预备党员刘子涵:这次活动以传统书信的形式勾连起两千公里的情谊,高中生活总是纯粹忙碌的,而有些烦恼也是跳脱出那个单纯的环境才可以更好地去解决和处理的,因此有了远在千里之外的大哥哥大姐姐的回信。能够参与这次活动为他们解决心中的疑惑,说实话仿佛是穿越时空给当年那个迷茫稚嫩的自己指出一条更加合适的路,让自己心中的遗憾少了一些。祝愿高中的弟弟妹妹们学业有成,身体健康,家人顺遂,万事如意。
水文专业大学生党支部入党积极分子尤嘉琪:这次活动让我们和云南的同学之间产生了联系,从字里行间感受他们每个人的喜怒哀乐,似乎能看见一个人坐在教室里一笔一划写下每一个字的场景,在给他们回信答疑解惑的过程当中,也让我再度回忆起了美好的高中生活,他们的疑虑都是我曾拥有的,因此便格外感同身受,想要将心中的想法都用笔进行表达,在这个过程中也有了一些新的体会和感悟,这都是弥足珍贵的,也希望我的建议能真正帮助到他们,让他们的高中生活更加顺利吧。
 
同学的回信
此次活动各党支部党员、入党积极分子积极参与,大家都在力所能及的去帮助这群弟弟妹妹,帮助他们答疑解惑,树立一个正确的目标,并鼓励他们努力前进,为之不懈奋斗。大家在信中留言鼓励楚雄龙江学子前往地大,前往beat365中文官网来进行学习生活。
习近平总书记提到:“青春孕育无限希望,青春创造美好明天。一个民族只有寄望青春、永葆青春,才能兴旺发达”,beat365中文官网学生党员以青年蓬勃的朝气引导青少年学子,与他们一起树立远大理想、热爱伟大祖国、担当时代责任、用于砥砺奋斗、练就过硬本领、锤炼品德修为,争做伟大事业的主力军。学院党员也将继续发挥党员的先锋模范作用,服务群众,关心群众,用党旗的光辉温暖群众。